曝光详情
登录
退出登录
我要曝光
Daniel Fx
发表于
厄瓜多尔
大卫·梅里诺
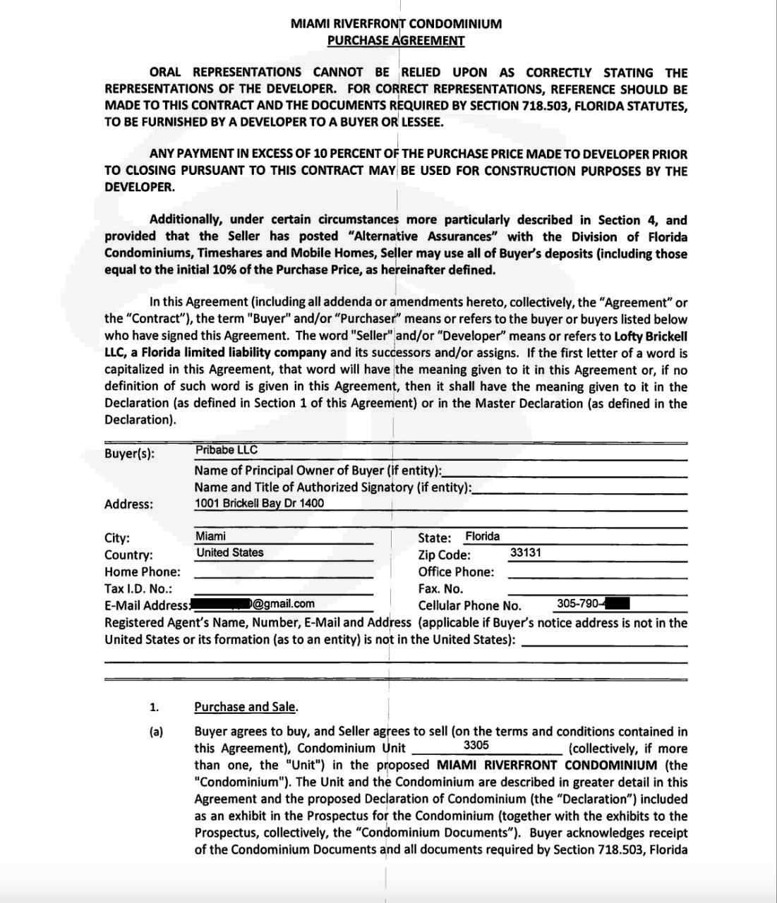
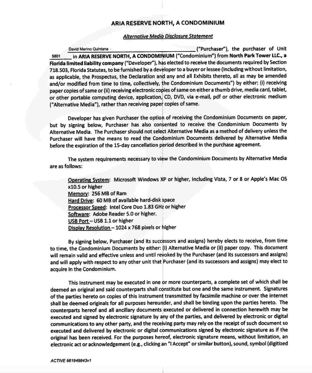
这个小偷不付钱,他有6000多起诉讼,他什么也不付,他只是拖拖拉拉,有证据证明,被盗的东西有50亿。
以下为原文内容
David Merino
Este ladron no paga tiene más de 6000 demandas en su contra y no paga nada solo da largas ahí hay pruebas de todo lo que se robo con 5000 millones que se robo
诱导欺诈
FxWinning
举报
内容不实
辱骂攻击
内容无意义
诱导诈骗
地域攻击
泄露隐私
内容抄袭
种族歧视
其它
确定
提示
确定
×
确认已解决吗?
确定
取消
您确定要结贴吗?
取消结帖
确认结帖